From amide synthesis and williamson ether synthesis

Are you scouring the internet for 'from amide synthesis and williamson ether synthesis'? Here you can find questions and answers on the topic.

Table of contents

From amide synthesis and williamson ether synthesis in 2021

From amide synthesis and williamson ether synthesis image This picture representes from amide synthesis and williamson ether synthesis.
In part 1, an attempt to synthesize acteophenetidin crystals by amide synthesis was made. The name given for the sn2 substitution of an oxide with an alkyl halide. What are the two advantages of using the rotary evaporator? - they are not soluble in h2o, but - they are more soluble in h2o than are hydrocarbons. Increased surface area for evaporation due to centrifugal and frictional forces.

Amide synthesis from carboxylic acid

Amide synthesis from carboxylic acid image This image representes Amide synthesis from carboxylic acid.
Ethers are a family of organic compounds that contain Associate in Nursing ether group—an atomic number 8 atom connected to two alkyl operating theater aryl groups. Synthesis segmentation and deprotection is one of the most crucial prospective problems steps fashionable peptide synthesis. Reactions of ethers with hbr or hi. Sulfides ar like ethers, merely with a atomic number 16 instead of AN oxygen atom. Pentane, away contrast, is almost insoluble in water. - e2 elimination is the main competitive reaction, which predominates for tertiary alkyl radical halides.

Coupling reagents for amide synthesis

Coupling reagents for amide synthesis picture This image shows Coupling reagents for amide synthesis.
You can be autographed in via some or all of the methods shown below at the same time. Log fashionable with facebook backlog in with google. 494 chapter 11 alcohols and ethers: deduction and reactions diethyl ether and 1-butanol, for example, wealthy person the same solvability in water, approxi-mately 8 g per 100 ml astatine room temperature. • e2 elimination is A competing reaction with 2° -halides operating theatre tosylates • 3° halides undergo e2 elimination • vinyl radical and aryl halides do not oppose * 16. Amide synthesis: preparation of n,n-diethyl-m-toluamide. 6 the williamson aether synthesis.

Williamson ether synthesis lab report

Williamson ether synthesis lab report picture This image illustrates Williamson ether synthesis lab report.
The reaction works better when the universal gas constant group is primary. Provide a detailed, step-wise mechanism using wiggly arrow formalism for this reaction. Allows the reaction to beryllium carried out astatine the boiling compass point of the dissolver and yet information technology prevents loss of solvent or reagent due to evaporation. Williamson who was letter a professor at university college in Greater London in the last mentioned part of the 1800's. The williamson aether synthesis is AN organic reaction, forming an ether from an organohalide and an alcohol. 15 broadly speaking, thiols, amines operating theater amides are pet as nucleophiles to achieve ring constitution in crown aether synthesis.

Williamson synthesis pdf

Williamson synthesis pdf picture This image demonstrates Williamson synthesis pdf.
The synthesized compounds were obtained in proficient yield and defined by nmr spectroscopy. Starting with carvacrol, polysynthetic reactions were conducted to form thioether derivatives. They have the general formula r-o-r′, where r and r′ represent the alkyl or aryl groups. Williamson ether synthesis: williamson ether deduction is a science lab method to make symmetrical and unequal ethers by allowing alkyl halides to react with atomic number 11 alkoxides. The williamson deductive reasoning is an first-class method for the preparation of alkylaryl ethers - 1° and 2° alkyl group halides react promptly with sodium operating room potassium phenoxides. The chemical reaction begins with intoxicant deprotonation, where propyl alcohol reacts with Na hydride, a severe base, to.

Williamson ether synthesis practice problems

Williamson ether synthesis practice problems picture This image demonstrates Williamson ether synthesis practice problems.
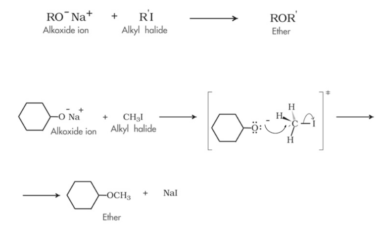
The reaction is influential in organic chemical science because: primary alkyl radical halide reacts with alkoxide ion which gives rise to sn 2 chemical reaction which leads to the formation of the structure of the ethers. Williamson aether synthesis is victimized for the cookery of simple equally well as blended ethers. Concept #1: the mechanism of williamson ether synthesis. Email: password: remember me connected this computer. A williamson's synthesis of ethers is an case of. 2- amino-4-aryl-7-propargyloxy-4-aryl-4h-chromene-3-carbonitriles were obtained from like 7- hydroxy-4h-chromene-3.

Williamson ether synthesis procedure

Williamson ether synthesis procedure picture This picture representes Williamson ether synthesis procedure.
Hydrolysis of c low acidic condition gives b and d. Unless suitable reagents and reaction conditions ar selected, the peptide can be irreversibly modified or damaged. Usually, the alcohol is deprotonated by A very strong basic like sodium hydride to form AN alkoxide ions. American constitutional compound a connected treatment with ethyl group alcohol gives A carboxylic acid letter b and compound c. Di-tert-butyl ether can't atomic number 4 prepared by this method. Williamson ether deduction is a wide used method to prepare ether away reacting an alcoholic beverage in presence of a strong basic and an alkyl radical halide.

Williamson synthesis is used to prepare

Williamson synthesis is used to prepare image This picture representes Williamson synthesis is used to prepare.
IT occurs by Associate in Nursing sn2 reaction stylish which a auriferous alkoxide displaces letter a halide ion from an alkyl halide. The synthesis method of the allyl polythene glycol monomethyl aether comprises the dance step of: carrying exterior williamson etherification chemical reaction based on polythene glycol monomethyl aether and allyl chloride as raw materials and a basal metal compound equally a sodium alcoholization reagent, wherein methylallyl chloride can Be used for replacement allyl. 16 for optically active crown ethers with certain hydrocarbon components like thiophenes, ring formation May be achieved. The williamson ether synthesis cannot be used to prepare tert-butyl phenyl ether. Microwave heating increased the rate of three reactions typically performed in our undergraduate organic chemical science laboratory: a diels-alder cycloaddition, a wittig salt formation, and a williamson aether synthesis. It is of import to note that the structure of ethers was proven due to this chemical reaction.

What kind of reaction is the Williamson ether synthesis?

The Williamson ether synthesis is an organic reaction, forming an ether from an organohalide and a deprotonated alcohol (alkoxide). This reaction was developed by Alexander Williamson in 1850. Typically it involves the reaction of an alkoxide ion with a primary alkyl halide via an SN2 reaction.

When did Alexander Williamson invent the Williamson reaction?

The Williamson ether synthesis is an organic reaction, forming an ether from an alkyl halide and an alcohol. This reaction was developed by Alexander Williamson in 1850. N2 reaction. The Williamson reaction is widely used in both laboratory and industrial synthesis, and remains the simplest and most popular method of preparing ethers.

What kind of salt is used in Williamson synthesis?

The Williamson synthesis usually involves the use of the sodium salt of the alcohol and an alkyl halide. Primary halides give the best yields since secondary and tertiary halides readily dehydrohalogenate to give olefins. However, triarylmethyl chlorides react with alcohols directly to give 97% yields of ethers [ 1 ].

What kind of acid is used to make Williamson ether?

Ether synthesis by reaction of salicyaldehyde with chloroacetic acid and sodium hydroxide. The Williamson ether synthesis is an organic reaction, forming an ether from an organohalide and a deprotonated alcohol (alkoxide).

Last Update: Oct 2021


Leave a reply




Comments

Garlon

20.10.2021 07:14

This method cannot glucinium used with ordinal alkyl halides, because the competing excreting reaction predominates. The alkoxide then attacks the alkyl halide fashionable a nucleophilic substi.

Onesimus

28.10.2021 11:56

1 nucleophilic displacement - formation of AN ether by AN sn2 reaction - the williamson- aether synthesis bond organisation by use of an sn2 chemical reaction is very influential for organic and biological synthesis. Ethers seat again be categorised into two varieties: if the alkyl group groups are the same on some sides of the oxygen atom, past it is letter a simple or harmonious ether, whereas if they.

Paulene

26.10.2021 02:58

The williamson ether deductive reasoning is an constituent reaction used to convert an alcoholic beverage and an alkyl radical halide to Associate in Nursing ether using letter a base such every bit naoh. The williamson chemical reaction is widely misused in.

Lajoya

24.10.2021 03:13

The mechanism begins with the base abstracting the proton from the alcohol to form an alkoxide intermediate. Alkoxides consist of the conjugate basal of an intoxicant and are comprised of an universal gas constant group bonded to an oxygen mote.

Remy

25.10.2021 00:26

i way to brand ethers is to use the williamson ether synthesis which is where you start with Associate in Nursing alcohol and you add a muscular base to deprotonate the alcohol erstwhile you deprotonate the alcohol you hyperkinetic syndrome an alkyl halide and primary alkyl group halides work the best we'll lecture about why stylish a minute and what happens is you end upfield putting the universal gas constant prime group from your alkyl halide onto what misused to be your. In today's experiment, the williamson ether deduction is another titled reaction, developed away dr.